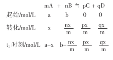
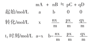
授人以鱼,不如授人以渔。教学中要善于归纳总结,构建同一类型题目的解题模式,简化学生的思维过程,让学生掌握举一反三、触类旁通的本领,将学生从题海中解脱出来。如:反应速率的计算、化学平衡常数的计算、电离平衡常数的计算等,凡是末完全反应(不管是否可逆反应)的题都可采用如下的三段式解题模式:
对于反应mA+nB≒pC+qD,t0 s时A的浓度为a mol/L,B的浓度为b mol/L,反应进行至t1 s时,A消耗了x mol/L,则反应各物质的量的计算有如下关系:
例如:已知CO(g)+H2O(g)≒CO2(g)+H2(g), 800℃时,在容积为2 L的密闭容器中充入2.0 mol CO(g)和3.0 mol H2O(g),保持温度不变,4 min后反应达到平衡,测得CO的转化率为60%。计算800℃时该反应的平衡常数。
又如:将适量铁粉放入氯化铁溶液中,完全反应后,溶液中的Fe3+和Fe2+的物质的量浓度相等,则已反应的Fe3+和未反应的Fe3+的物质的量之比为
解:设原溶液中含Fe3+的物质的量为a mol,加入x mol Fe。
2Fe3+ + Fe = 3Fe2+
起始/mol a x 0
转化/mol 2x x 3x
最终/mol a-2x 0 3x
依题意得:a-2x=3x 解得:x=a/5
∴ 2x/(a-2x)=3/2
三、磨砺坚强的意志,战胜化学学习中的困难
爱因斯坦曾说:“优秀的性格和钢铁般的意志比智慧和博学更为重要。”化学是一门文理兼备的学科,学习它,既要靠缜密的思维能力,又要有记忆与理解的功力,学习中遇到困难和挫折是常有的事。因此,磨砺学生意志,使他们具有顽强的意志,对学好化学具有十分重要的意义。
如何磨砺学生的意志呢?教学中,我利用“每课一题”有意识地设置适度的困难,鼓励学生克服它、战胜它。具体做法是,根据每节课的教学内容设置一道有梯度或有一定难度的题目,让学生课后思考并解决,要求学生将思考或解题的过程写下来,这样学生就会通过思考和解题将自己在学习过程中遇到的“瓶颈”暴露出来,通过解决“瓶颈”而使自己的意志得以强化。
例如,在讲授物质的量在化学方程式计算中的应用一节内容后,我将作业设计为:将1mol CO充分燃烧需要多少克氧气?产生多少升CO2(在标准状态下)?将产生的CO2全部通入到1 mol/L的NaOH溶液中,至少需要多少升NaOH溶液才能完全吸收?
第一问是100%的同学能做到的,但第二问要根据标况下气体的摩尔体积才能求解,有10%左右的同学不会做;至于第三问就有20%~30%的同学不能解决了。这时,要求他们写下思考的过程,自问是哪一步难倒了自己:是摩尔浓度的应用问题,还是对题目中的“至少”没理解?是反应产物不懂,还是方程式不会书写?等等。针对是哪个难点阻碍了解题进程,老师了解后给予指点、突破。长此训练,学生就会养成一种不怕难题、遇到难题细心分析和刻苦钻研的学习习惯。
(作者单位:广东韶关市韶钢一中)
责任编辑 邹韵文




