[点评]本题考查了复合函数、数列以及函数单调的导数式条件.数列是特殊的函数,将an=g(n)视为n的函数,利用函数导数的符号判断数列{an}的单调性.
考点4. 函数图像的公切线问题
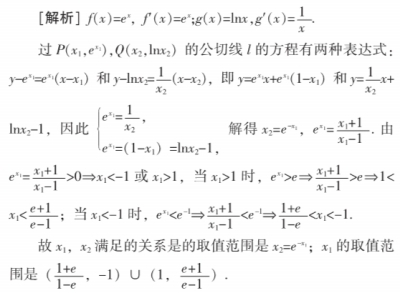
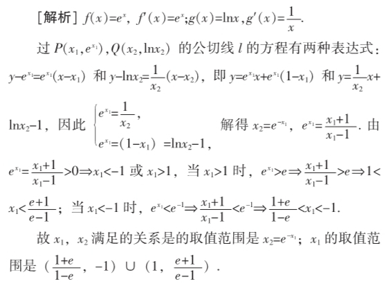
例4. 设函数 f(x)=ex的反函数为g(x),点P(x1,y1),Q(x2,y2)分别为函数f(x)的图像C1和g(x)的图像C2上的两个动点, 过P、Q的直线为l,当l为曲线C1、C2的公切线时,求x1,x2满足的关系以及x1的取值范围.
[点评]本题是超越型函数图像的公切线问题,用传统方法难以求解. 这里根据导数的几何意义得到公切线l的两种表达式,从而构建方程,获得x1,x2的关系, 进一步求出x1的取值范围.一般地,如果直线l切曲线y=f(x)和y=g(x)分别于点P(x1,y1),Q(x2,y2),则l有两种表示方法:y-f(x1)=f′(x1)(x-x1)和y-g(x2)=g′(x2)(x-x2), 即它们表示同一条直线,我们常常以此构建方程组f′(x1)=g′(x2),f(x1)-x1f′(x1)=g(x2)-x2g′(x2)来解决公切线问题.
考点5. 超越型不等式的证明问题
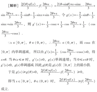
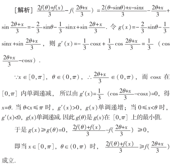
例5. 设f(x)=x-sinx,若x∈[0,?仔],?兹∈(0,?仔),试证明
[点评]本题中的超越型不等式用传统方法难以证明,导数为这类问题的研究和解决提供了新思路. 由于导数在这类问题中的应用往往是隐性的,需要我们去创造条件、去构造模式(主要是构造新函数,此题中就是函数g(x)),这就常常导致我们只重视用传统方法思考,而忽视导数的应用. 不等式的证明除常见的比较法、分析法、综合法、反证法外,构造函数、利用导数知识处理是一种非常重要的方法.在涉及指数、对数、分式、三角等复杂的不等式证明问题中,有着其他方法不可比拟的优越性,因此要重点关注.
类型6. 含参数的恒成立不等式问题
例6. 已知函数f(x)=a/3x3-3/2x2+(a+1)x+1,其中a为实数. 若不等式f′(x)>x2-x-a+1对任意a∈(0,+∞)都恒成立,求实数x的取值范围.
[解析]因为f′(x)=ax2-3x+(a+1),所以f′(x)>x2-x-a+1就是ax2-3x+(a+1)>x2-x-a+1,即(x2+2)a-2x-x2>0.
令g(a)=(x2+2)a-2x-x2,则g′(a)=x2+2>0,g(a)在a∈(0,+∞)上单增,(x2+2)a-2x-x2>0在a∈(0,+∞)恒成立?圳g(0)≥0, 所以-2x-x2≥0,解得-2x≤x≤0,即为实数x的取值范围.
[点评]本题涉及整式函数型恒成立不等式, 主要考查多项式函数的求导法则、导数与函数单调性的关系. 一要注意三次函数的导函数则是二次函数, 二次函数是我们熟悉的模型,这是导数的降次功能. 二要注意构造新函数g(a),活用导数知识求出g(a)的值域,顺利实现解题目标.一般地,不等式f(x)<k(k为实数)在x∈I上恒成立?圳fmax<k(x∈I);不等式f(x)>k(k时恒成立)在 x∈I时恒成立?圳fmin>k(x∈I).求解此类问题最常见的方法是函数最值法,即构造出相应的辅助函f(x),利用上述结论处理. 本题不等式(x2+2)a-2x-x2>0在a∈(0,+∞)恒成立?圳g(a)=(x2+2)a-2x-x2在(0,+∞)上的最大值大于零?圳g(a)≥0.





