例7. 函数f(x)=x2eax,其中a∈R.
(1)当a=1时,求函数f(x)的单调区间;
(2)若函数f(x)在(-∞,-1]上递增,求实数a的取值范围.
[解析](1)f(x)=x2ex,f′(x)=2xex+x2ex=(x2+2x)ex. 由f′(x)>0,得x2+2x>0,x<-2或x>0;由f′(x)<0,得x2+2x <0,-2<x<0.所以函数f(x)的单增区间是(-∞,-2],[0,+∞),单减区间是[-2,0].
(2)f(x)=x2eax,f′(x)=2xeax+ax2eax=(ax2+2x)eax. 若函数f(x)=在(-∞,-1]上递增,则在(-∞,-1]上f′(x)=(ax2+2x)eax≥0,即ax2+2x≥0.
因为x∈(-∞,-1],所以x2>0,ax2+2x≥0变为a≥-2/x,a≥(-2/x)max. -2/x在x∈(-∞,-1]上是减函数,最大值为-2/-1=2,故a≥2, 即为实数a的取值范围.
[点评]纵观近年来的高考题不难发现,“已知函数的单调性特征,反过来确定函数式中待定字母的取值范围”试题在高考中频频出现,而且试题的深度、广度和难度也在不断增大. 这种逆向设置的问题, 有一定的开发性,能有效考查学生对函数、导数、不等式思想方法的掌握程度、思维水平和综合能力. 显然, 这些试题用单调性的定义求解,将会十分复杂,甚至无法求解. 而运用导数符号与函数单调性的关系来处理则是一种有效途径. 对于可导函数f(x)在区间D上单增(或单减)的充要条件是:在x∈D上恒有f′(x)≥0(或f′(x)≤0),且f′(x)在D的任意子区间上都不恒为零. 在高中阶段, 主要出现的是有一个或多个(有限个)使f′(x)=0的点x的情况. 比如, 函数f(x)=x3在(-∞,+∞)上单增,f′(x)=3x2≥0在(-∞,+∞)上恒成立, 其中有一个x0=0,使f′(x0)=0成立. 注意f′(x)>0(或f′(x)<0)是f(x)为增(或减)函数的充分而非必要的条件, 避免当做充要条件使用. 这里不能由不等式ax2+2x>0求实数a的取值范围.
考点8. 分类讨论待定字母的取值范围问题
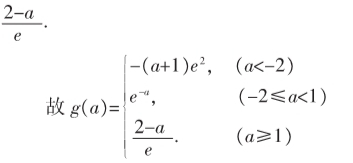
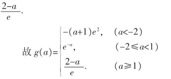
例8. 求函数f(x)=xln(-x)+(a-1)x(a∈R)在区间[-e2,-e-1]上的最大值g(a).
[解析]f′(x)=ln(-x)+ a. 由f′(x)=ln(-x)+ a=0 ,得x=-e-a.
①若-e-a<-e2,即a<-2,函数在[-e2,-e-1]上递减,g(a)=f(-e2) =-(a+1)e2.
②若-e2≤-e-a<-e-1,即-2≤a<1时,g(a)=f(-e-a)=e-a.
③若-e-a≥-e-1,函数在[-e2,-e-1]上递增,g(a)=f(-e-1)=■
[点评]本题中a为任意实数,f′(x)的零点x=-e-a是否在所给的区间[-e2,-e-1]内,有a待于的取值,必须对零点x=-e-a与区间[-e2,-e-1]的位置关系进行分类讨论. 一般地,分类讨论有“三步曲”:一是选择分类对像,即对什么东西进行分类(这里零点x=-e-a与区间[-e2,-e-1]的位置关系由a确定,因此选择a为分类对像);二是确定分类标准,即怎样分类(这里根据零点x=-e-a在区间[-e2,-e-1]的左边、内部、右边分成a<-2、-2≤a<1和a≥1三类);三是深化分类层次(就是在一级分类中再进行二级分类,即分类中分类,本题不涉及). 导数、不等式在函数的应用中, 常常涉及到待定的字母,函数的单调性、极值、最值以及图像的形状等等都与字母的取值有关, 此时要牢记对待定字母的分类讨论, 切实把握分类讨论的“三步曲”,否则极易出错.
考点9. 函数的零点个数问题
例9. 试判断函数f(x)=x2-8lnx-8的零点个数.
[解析]函数f(x)的定义域是(0,+∞). 由f′(x)=2x-8/x=0,得x=±2,取x=2.
当0<x<2时,f′(x)<0;当x>2时,f′(x)>0 .所以函数f(x)在点x=2处取极小值,也是最小值, 且最小值为f(2)=22-8ln2-8=-4-8ln2<0.
如图3,当x逐渐靠近零时,f(x)越来越大;当x大于2,并逐渐大时,f(x)也越来越大.因此函数f(x)有两个零点.
[点评]超越函数的零点个数用传统方法处理往往不易,导数是很好的工具.解题的基本步骤是:求f′(x)=0的根x0;判断在根x0的两侧f′(x)的符号;确定x0是极大值点,还是极小值点,或不是极值点;求最值;画出f(x)的草图,观察即可.
考点10. 函数图像的交点个数问题
例10. 已知f(x)=-x2+8x,g(x)=6lnx+m,是否存在实数m,使得函数y=f(x)的图像与函数y=g(x)的图像有且只有一个交点?若存在,请求出m的取值范围; 若不存在,请说明理由.
[解析]函数的y=f(x)图像与函数y=g(x)的图像的交点个数问题,就是方程f(x)=g(x)在(0,+∞)上实根的个数问题,进一步就是函数h(x)=g(x)-f(x) 的图像与x轴交点的个数问题.
因为h(x)=6lnx+m+x2-8x,所以(x>0),
当0<x<1时,h′(x)>0,h(x)单调递增; 当1<x<3时,h′(x)<0,h(x)单调递减; 当x>3时h′(x)>0,h(x)单调递增. 所以h(x)的极大值为h(1)=m-7,极小值为h(3)=m+6ln3-15,并且当x→+∞时,h(x)→+∞;当x→0+时, h(x)→-∞. 因此要使h(x)=g(x)-f(x)<0的图像与x轴有且只有一个交点,必须且只(下转第23页)




