第23:点拨·数学有数·高考数列命题热点探析
上一页3   4下一页  
 
标题导航
2014年01月10日 星期五 出版 上一期  下一期
     
放大 缩小 默认   
高考数列命题热点探析
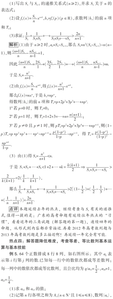
  点评 本题共三问,看看第一问是等差数列与等比数列的基础知识问题,没有什么难度.第二问呢?虽然看上去绕了很多弯,但只要你认清每一步涉及的基础知识与基本技能,也会顺利完成.第三问呢?无论是分析还是求解,都在常规之列,也不算难.但当这三问合在一起时,再说此题是简单题恐怕就没有人同意了.本题很全面,你再仔细看看,它涉及的知识点有多少个?方法与技能又有多少个?这样你就明白了,表面上看是降低了难度,考查也转向基础了,但因全面而使试题显得更有区分度.

  热点五:解答题真正在递推数列上作文章,从求解递推式

     
放大 缩小 默认   
   第01页:封面
   第02页:封二
   第03页:相约高中·开卷读悟·要有一颗争夺冠军的心
   第04页:目录
   第05页:目录
   第06页:点拨·语文揭秘·如何有效积累高考作文的事例素材
   第07页:点拨·语文揭秘·如何有效积累高考作文的事例素材
   第08页:点拨·语文揭秘·高考诗歌诗眼赏析类考题有效突破支招
   第09页:点拨·语文揭秘·高考诗歌诗眼赏析类考题有效突破支招
   第10页:点拨·语文揭秘·高考诗歌“形象意境赏析”题解题指津
   第11页:点拨·语文揭秘·高考诗歌鉴赏“词句含意理解”题解题点拨
   第12页:点拨·语文揭秘·高考诗歌鉴赏“分析语言特色”类题型考点突破
   第13页:点拨·语文揭秘·高考诗歌鉴赏意境题解题技巧
   第14页:点拨·语文揭秘·在积累反思中鉴赏古代诗歌的形象
   第15页:点拨·语文揭秘·高考诗歌抒情方式鉴赏备考指导
   第16页:点拨·语文揭秘·高考诗歌鉴赏“表现手法”识判分析例谈
   第17页:点拨·语文揭秘·高考诗歌鉴赏“表现手法”识判分析例谈
   第18页:点拨·语文揭秘·高考诗歌鉴赏“表现手法”识判分析例谈
   第19页:点拨·数学有数·函数、导数与不等式考前预测
   第20页:点拨·数学有数·函数、导数与不等式考前预测
   第21页:点拨·数学有数·函数、导数与不等式考前预测
   第22页:点拨·数学有数·高考数列命题热点探析
   第23页:点拨·数学有数·高考数列命题热点探析
   第24页:点拨·数学有数·高考数列命题热点探析
   第25页:点拨·数学有数·高考数列命题热点探析
   第26页:点拨·数学有数·用数形结合思想方法解题时的常见错误分析
   第27页:点拨·数学有数·用数形结合思想方法解题时的常见错误分析
   第28页:点拨·数学有数·用数形结合思想方法解题时的常见错误分析
   第29页:点拨·数学有数·用数形结合思想方法解题时的常见错误分析
   第30页:点拨·数学有数·高考不等式专题复习
   第31页:点拨·数学有数·高考不等式专题复习
   第32页:点拨·数学有数·高考不等式专题复习
   第33页:点拨·数学有数·高考不等式专题复习
   第34页:点拨·数学有数·圆锥曲线中一类斜率关系题
   第35页:点拨·数学有数·圆锥曲线中一类斜率关系题
   第36页:点拨·数学有数·圆锥曲线中一类斜率关系题
   第37页:点拨·英语胜经·谈谈from +where引导的从句
   第38页:点拨·英语胜经·谈谈from +where引导的从句
   第39页:点拨·英语胜经·语法填空题中的信号词 and
   第40页:点拨·英语胜经·虚拟语气的考点归纳与解题指导
   第41页:点拨·英语胜经·虚拟语气的考点归纳与解题指导
   第42页:点拨·英语胜经·语法填空考点分析与解题指导
   第43页:点拨·英语胜经·语法填空考点分析与解题指导
   第44页:点拨·英语胜经·语法填空考点分析与解题指导
   第45页:点拨·英语胜经·比较汉英句式差异,形成正确的英语主谓意识
   第46页:点拨·英语胜经·形容词短语与过去分词短语作后置定语的区别
   第47页:点拨·英语胜经·攻克阅读中的生词五招
   第48页:点拨·英语胜经·基础写作“五步”法
   第49页:点拨·英语胜经·基础写作“五步”法
   第50页:点拨·英语胜经·基础写作“五步”法
   第51页:点拨·文综解密·中国历史上重要的社会转型期
   第52页:点拨·文综解密·中国历史上重要的社会转型期
   第53页:点拨·文综解密·中国历史上重要的社会转型期
   第54页:点拨·文综解密·中国历史上重要的社会转型期
   第55页:点拨·文综解密·创新物理实验的复习备考策略
   第56页:点拨·文综解密·创新物理实验的复习备考策略
   第57页:点拨·文综解密·创新物理实验的复习备考策略
   第58页:点拨·理综高参·微元法的易错例析
   第59页:点拨·理综高参·微元法的易错例析
   第60页:点拨·理综高考·深度挖掘 巧妙处理
   第61页:点拨·理综高考·深度挖掘 巧妙处理
   第62页:点拨·理综高考·深度挖掘 巧妙处理
   第63页:点拨·理综高考·广东高考化学选择题的考点剖析
   第64页:点拨·理综高考·广东高考化学选择题的考点剖析
   第65页:点拨·理综高考·广东高考化学选择题的考点剖析
   第66页:点拨·理综高考·广东高考化学选择题的考点剖析
   第67页:点拨·理综高考·广东高考化学选择题的考点剖析
   第68页:操练·2014年高考诗歌鉴赏仿真训练
   第69页:操练·2014年高考诗歌鉴赏仿真训练
   第70页:操练·2014年高考诗歌鉴赏仿真训练
   第71页:操练·2014年高考诗歌鉴赏仿真训练
   第72页:操练·2014年高考诗歌鉴赏仿真训练
   第73页:相约高中·校长论坛·传承华附办学理念,培育先进校园文化
   第74页:相约高中·校长论坛·传承华附办学理念,培育先进校园文化
   第75页:封三
   第76页:封底
高考数列命题热点探析
广东教育高中版点拨·数学有数·高考数列命题热点探析23高考数列命题热点探析 2014-01-10 2 2014年01月10日 星期五