一、复习指南
1. 在复习中要注意扎扎实实地掌握基础知识和基本方法,特别是要掌握不等式的性质和等价转化的原则,它是学好本章内容的关键,证明不等式没有固定的模式可套,它方法灵活,技巧性强,因此在复习中除掌握比较法、分析法、综合法这三种基本方法外,还应了解其它的证明方法,并不断总结证明不等式的规律和技巧,提高数学能力.
2. 强化本章常用的数学思想方法的复习.①等价转化的思想:如在不等式的同解变形过程中等价转化思想起重要作用,解不等式的过程实质上就是利用不等式的性质进行等价转化的过程.②分类讨论的思想:如求解含参数的不等式问题,一般要对参数进行分类讨论,在复习时,应学会分析引起分类讨论的原因,合理地分类,做到不重不漏.③函数与方程思想:不等式与函数、方程三者相互联系、相互转化,如求参数的取值范围问题,函数与方程的思想是解决这类问题的重要方法.④化归思想:证明不等式就是将已知条件转化为要证的结论,这体现了化归思想的重要性,其中不仅考查基础知识,而且能考查出考生分析问题和解决问题的能力.
3. 在复习时应强化不等式的应用,提高应用意识.历届高考题中除单独考查不等式的试题外,常在一些函数、数列、立体几何、解析几何和实际应用的问题中涉及不等式,如在实际问题中,主要有构造不等式求解或构造函数求最值,求最值时要注意等号成立的条件.因此,在复习过程中,一定要提高应用意识,不断总结不等式的应用规律,努力提高数学能力.
二、典题选析
题型1. 利用不等式性质求取值范围.
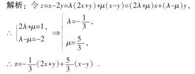
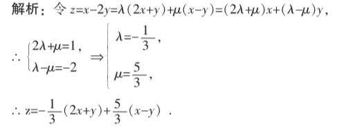
例1. 若变量x,y满足约束条件3≤2x+y≤9,6≤x-y≤9,则z=x-2y的最小值为__________.
分析:利用不等式性质求某些代数式的取值范围时,应注意两点:一是必须严格运用不等式的性质;二是在多次运用不等式的性质时有可能扩大了变量的取值范围,要特别注意.
又∵ 3≤2x+y≤9,6≤x-y≤9,
∴7≤-1/3(2x+y)+5/3(x-y)≤14,即7≤z≤14,
∴ zmin=7.
点评:本题也可用线性规划求解,但题中x,y相互制约,不可分割,先待定系数法建立待求范围的整体与已知范围的整体的等量关系,最后通过“一次性”不等关系的运算求得待求整体的范围是避免错误的一条途径.
题型2. 三个“二次”间的关系
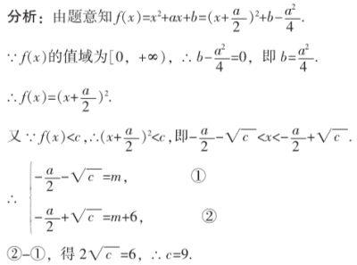
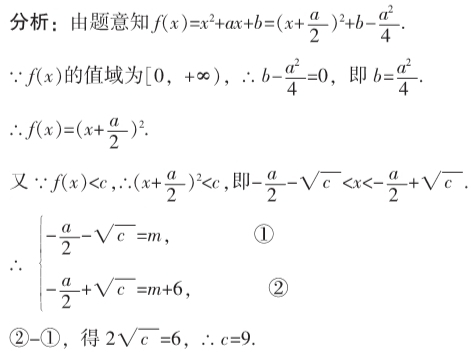
例2. 已知函数f(x)=x2+ax+b(a,b∈R)的值域为[0,+∞),若关于x的不等式f(x)<c的解集为(m,m+6),则实数c的值为__________.
点评:二次函数、一元二次不等式、一元二次方程之间有着密切关系.(1)一元二次不等式解集的端点就是对应的一元二次方程的解;(2)不等式的解集结构与二次项系数有直接的关系;(3)二次函数的图像能直观反映一元二次不等式解集的情况.




