题型12. 含有参数的不等式问题
含有参数的不等式问题是高考常考题型,求解过程中要利用不等式的性质将不等式进行变形转化,化为一元二次不等式等问题去解决,注意参数在转化过程中对问题的影响.
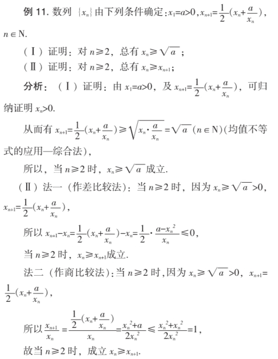
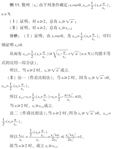
例12. 已知f(x)=lg(x+1),g(x)=2lg(2x+t)(t∈R,t是参数).
(1)当t=-1时,解不等式:f(x)≤g(x);
(2)如果当x∈[0,1]时, f(x)≤g(x)恒成立,求参数t的取值范围.
分析:将对数方程转化为不含对数的方程,在转化过程中要注意定义域.
解析:(1)t=-1时,f(x)≤g(x),即为lg(x+1)≤2lg(2x-1),
此不等式等价于 x+1>0,2x-1>0,x+1≤(2x-1)2,解得x≥5/4,
∴原不等式的解集为{x|x≥5/4}.
(2) x∈[0,1]时, f(x)≤g(x)恒成立,



