第055:招生与考试·异地高考公平难题的“三角关系模型”分析
上一页3   4下一页  
 
标题导航
2015年07月10日 星期五 出版 上一期  下一期
     
放大 缩小 默认   
异地高考公平难题的“三角关系模型”分析
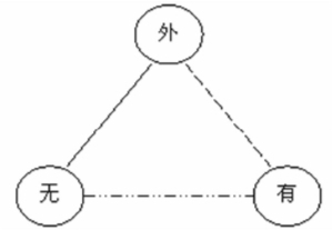
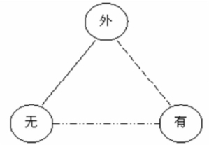
图1 异地高考的“三角关系模型”
  点横线为户籍性公平问题)。其中,流动性公平问题来源于外来务工人员和无户籍常住居民的公平诉求,地区性公平问题产生自外来务工人员和有户籍本地居民的区域差异,户籍性公平问题关系到无户籍常住居民和有户籍本地居民的利益分配。于是三点和三边依次连成彼此相关的三角形结构,忽略其中任意要素都会破坏三角形的稳定性。因此,不能片面地看待异地高考问题,应当依靠多项政策的相互配合来实现三类公平维度的协同建构。

  异地高考的“三角关系模型”旨在帮助认清和理顺问题中的复杂关系,但是从认识问题到解决问题,还需要寻找一种正确的解题方法。所谓正确的方法应该同时具备合理性和现实性。比如,有人提议通过提高政策制定的社会参与度来解决异地高考问题,这种建议就缺乏合理性,把希望寄托在利益博弈双方的良知和沟通上,就如同乌托邦的设想。此外,也有人提议通过均衡各地的教育资源来处理异地高考难题,这种建议又不具备现实性。虽然从理论上说均衡教育资源能根本性地解决问题,但是教育资源的不均衡分布有其深刻的社会历史原因,短期内很难有较大改观。兼顾合理性和现实性意味着要对症下药,异地高考始终围绕招考公平,那么考试招生制度即是症结所在。完善异地高考政策的关键在于考试招生制度改革,考试招生制度改革又包括考试制度改革和招生制度改革两个方面。

  二、流动性公平问题

  由于我国各省份之间的高考试题和教材选用并不统一,如果流动人口子女在流入地接受学习,回到生源地参加高考,那么所学内容难免无法充分适应高考的需要,使随迁子女在高考中处于不利位置,教育公平中最起码要保证的机会公平也就无从谈起。若是选择回到生源地完成学业,那么又意味着要和在外务工的父母分隔两地,这不仅不利于留守子女的健康成长,而且不符合联合国《儿童权利公约》的规定,即“非经法院判决,应确保不违背儿童父母意愿使儿童和父母分离”。随迁子女跟随父母,在父母经常居住地接受教育应该是一项基于国际公约的基本人权。[5]

  异地高考最初正是基于这个两难问题提出的,后来逐渐被无户籍常住居民与有户籍本地居民之间的户籍利益之争所掩盖。有调查显示,仅有17.8%的农民工了解并且很关注异地高考政策,61.3%的农民工不清楚异地高考政策甚至从未听说,只有少部分农民工表示很关注此政策。由此可见,农民工对异地高考政策的了解程度和关注度很低。[6]加上农民工阶层本身缺少话语权,于是在异地高考问题上慢慢被边缘化了。但作为政策制定者和社会公平保障者的政府,如果也随波逐流对此置之不理,则无异于舍本逐未。因此,如何在随迁子女跟随父母一起生活的情况下,又能保证其高考机会的相对公平是需要首先解决的流动性公平问题。

  对此,多数学者倾向于将随迁子女看作一个独立的群体,试图从招生制度改革的视角来解决问题,并提出四种类型的方案。其一,让随迁子女在流入地完成录取工作,同时,增加流入地的高考录取人数,保持同等录取率,从而不损害当地居民利益。其二,按随迁子女占原籍地考生比例,将原省市的招生名额分出一部分用于录取随迁子女。其三,排除原籍因素,为同一流入地的所有随迁子女单独设置录取指标。其四,制定高考分数的省际转换规则,将随迁子女在流入地高考所得成绩经过转换后回原籍参加录取。

  以上四种方案看似有理,实则经不起推敲。第一种在本质上属于低门槛的异地高考方案,而且为了消减当地居民的阻力,还采用增加招生总额的办法。如此一来,高考移民将成为一种常态,源源不断地涌入北京、上海等高考洼地,直至超出高校和城市所能承载的负荷。第二种和第三种的缺陷相仿,一则流动人口流动性强,具体人数不易测算;二则在异地考生的招生名额和录取率的界定上存在诸多麻烦,无论多或少都会引发不同立场下的公平争议,并且,分配不当还可能形成类似于青海、西藏这样的高考小洼地。至于第四种方案,要想在省际间公平地转换分数,其难度之大可想而知,甚至是不可能完成的任务。

  既然招生制度改革这条解题路径行不通,何不换个视角,从考试制度改革方向入手,设法消除异地考生的异质性。其实只要实现全国高考统一命题便可解决流动性公平问题。在全国统一高考模式之下,流动人口子女大可随父母在流入地生活学习并参加高考,即便回原籍录取也能免受课程与考试内

     
放大 缩小 默认   
   第001页:封面
   第002页:封二
   第003页:目录
   第004页:目录
   第005页:目录
   第006页:目录
   第007页:教育管理·大学顶尖科研产出的全球竞争力分析
   第008页:教育管理·大学顶尖科研产出的全球竞争力分析
   第009页:教育管理·大学顶尖科研产出的全球竞争力分析
   第010页:教育管理·大学顶尖科研产出的全球竞争力分析
   第011页:教育管理·大学顶尖科研产出的全球竞争力分析
   第012页:教育管理·治理理论视角下高校二级学院决策机制研究
   第013页:教育管理·治理理论视角下高校二级学院决策机制研究
   第014页:教育管理·治理理论视角下高校二级学院决策机制研究
   第015页:教育管理·治理理论视角下高校二级学院决策机制研究
   第016页:教育管理·治理理论视角下高校二级学院决策机制研究
   第017页:教育管理·“同级类差”与“同类级差”视角中的地方本科高校应用技能型人才培养研究
   第018页:教育管理·“同级类差”与“同类级差”视角中的地方本科高校应用技能型人才培养研究
   第019页:教育管理·“同级类差”与“同类级差”视角中的地方本科高校应用技能型人才培养研究
   第020页:教育管理·“同级类差”与“同类级差”视角中的地方本科高校应用技能型人才培养研究
   第021页:教育管理·“同级类差”与“同类级差”视角中的地方本科高校应用技能型人才培养研究
   第022页:教育管理·“同级类差”与“同类级差”视角中的地方本科高校应用技能型人才培养研究
   第023页:教育管理·“同级类差”与“同类级差”视角中的地方本科高校应用技能型人才培养研究
   第024页:教育管理·转型期师范大学科研创业
   第025页:教育管理·转型期师范大学科研创业
   第026页:教育管理·转型期师范大学科研创业
   第027页:教育管理·转型期师范大学科研创业
   第028页:教育管理·转型期师范大学科研创业
   第029页:教育管理·转型期师范大学科研创业
   第030页:教育管理·转型期师范大学科研创业
   第031页:教育管理·高校留学生学费定价影响因素及定价策略的研究
   第032页:教育管理·高校留学生学费定价影响因素及定价策略的研究
   第033页:教育管理·高校留学生学费定价影响因素及定价策略的研究
   第034页:教育管理·高校留学生学费定价影响因素及定价策略的研究
   第035页:教育管理·高校留学生学费定价影响因素及定价策略的研究
   第036页:教育管理·大学基金会筹款的伦理冲突及其化解
   第037页:教育管理·大学基金会筹款的伦理冲突及其化解
   第038页:教育管理·大学基金会筹款的伦理冲突及其化解
   第039页:教育管理·大学基金会筹款的伦理冲突及其化解
   第040页:教育管理·大学基金会筹款的伦理冲突及其化解
   第041页:教育管理·90后大学生对国家助学贷款政策认知与行为的研究
   第042页:教育管理·90后大学生对国家助学贷款政策认知与行为的研究
   第043页:教育管理·90后大学生对国家助学贷款政策认知与行为的研究
   第044页:理论探讨·论学术资本化的实现途径及其影响
   第045页:理论探讨·论学术资本化的实现途径及其影响
   第046页:理论探讨·论学术资本化的实现途径及其影响
   第047页:理论探讨·论学术资本化的实现途径及其影响
   第048页:理论探讨·论学术资本化的实现途径及其影响
   第049页:理论探讨·论学术资本化的实现途径及其影响
   第050页:理论探讨·论教育信任的价值内涵及其培育途径
   第051页:理论探讨·论教育信任的价值内涵及其培育途径
   第052页:理论探讨·论教育信任的价值内涵及其培育途径
   第053页:理论探讨·论教育信任的价值内涵及其培育途径
   第054页:招生与考试·异地高考公平难题的“三角关系模型”分析
   第055页:招生与考试·异地高考公平难题的“三角关系模型”分析
   第056页:招生与考试·异地高考公平难题的“三角关系模型”分析
   第057页:招生与考试·异地高考公平难题的“三角关系模型”分析
   第058页:比较教育·澳大利亚职前教师教育课程设置的特点与启示
   第059页:比较教育·澳大利亚职前教师教育课程设置的特点与启示
   第060页:比较教育·澳大利亚职前教师教育课程设置的特点与启示
   第061页:比较教育·澳大利亚职前教师教育课程设置的特点与启示
   第062页:比较教育·澳大利亚职前教师教育课程设置的特点与启示
   第063页:比较教育·来自中亚转型国家的经验:哈萨克斯坦助学贷款制度设计评价及借鉴
   第064页:比较教育·来自中亚转型国家的经验:哈萨克斯坦助学贷款制度设计评价及借鉴
   第065页:比较教育·来自中亚转型国家的经验:哈萨克斯坦助学贷款制度设计评价及借鉴
   第066页:比较教育·来自中亚转型国家的经验:哈萨克斯坦助学贷款制度设计评价及借鉴
   第067页:比较教育·来自中亚转型国家的经验:哈萨克斯坦助学贷款制度设计评价及借鉴
   第068页:比较教育·来自中亚转型国家的经验:哈萨克斯坦助学贷款制度设计评价及借鉴
   第069页:比较教育·从事前规制转向事后确认:日本大学现行认证评价制度研究
   第070页:比较教育·从事前规制转向事后确认:日本大学现行认证评价制度研究
   第071页:比较教育·从事前规制转向事后确认:日本大学现行认证评价制度研究
   第072页:比较教育·从事前规制转向事后确认:日本大学现行认证评价制度研究
   第073页:比较教育·从事前规制转向事后确认:日本大学现行认证评价制度研究
   第074页:比较教育·从事前规制转向事后确认:日本大学现行认证评价制度研究
   第075页:课程与教学·高校本科教学质量保障之省思:从制度到文化
   第076页:课程与教学·高校本科教学质量保障之省思:从制度到文化
   第077页:课程与教学·高校本科教学质量保障之省思:从制度到文化
   第078页:课程与教学·高校本科教学质量保障之省思:从制度到文化
   第079页:课程与教学·高校本科教学质量保障之省思:从制度到文化
   第080页:课程与教学·高校学生评教制度及其效果探讨
   第081页:课程与教学·高校学生评教制度及其效果探讨
   第082页:课程与教学·高校学生评教制度及其效果探讨
   第083页:课程与教学·高校学生评教制度及其效果探讨
   第084页:课程与教学·高校学生评教制度及其效果探讨
   第085页:课程与教学·慕课视域下高校思想政治教育理论课教学改革刍议
   第086页:课程与教学·慕课视域下高校思想政治教育理论课教学改革刍议
   第087页:课程与教学·慕课视域下高校思想政治教育理论课教学改革刍议
   第088页:课程与教学·慕课视域下高校思想政治教育理论课教学改革刍议
   第089页:课程与教学·积极心理学应用于高校思想政治教育的思考
   第090页:课程与教学·积极心理学应用于高校思想政治教育的思考
   第091页:课程与教学·积极心理学应用于高校思想政治教育的思考
   第092页:课程与教学·积极心理学应用于高校思想政治教育的思考
   第093页:课程与教学·大一新生词块意识及其对语言输出能力的影响之探究
   第094页:课程与教学·大一新生词块意识及其对语言输出能力的影响之探究
   第095页:课程与教学·大一新生词块意识及其对语言输出能力的影响之探究
   第096页:课程与教学·大一新生词块意识及其对语言输出能力的影响之探究
   第097页:课程与教学·大一新生词块意识及其对语言输出能力的影响之探究
   第098页:课程与教学·大一新生词块意识及其对语言输出能力的影响之探究
   第099页:教育史研究·近代中国大学教育学学科课程设置进路论略
   第100页:教育史研究·近代中国大学教育学学科课程设置进路论略
   第101页:教育史研究·近代中国大学教育学学科课程设置进路论略
   第102页:教育史研究·近代中国大学教育学学科课程设置进路论略
   第103页:高职教育·构建现代职业教育体系的困惑与思考
   第104页:高职教育·构建现代职业教育体系的困惑与思考
   第105页:高职教育·构建现代职业教育体系的困惑与思考
   第106页:高职教育·转制型高职院校高层次教师队伍建设的对策研究
   第107页:高职教育·转制型高职院校高层次教师队伍建设的对策研究
   第108页:高职教育·转制型高职院校高层次教师队伍建设的对策研究
   第109页:高职教育·转制型高职院校高层次教师队伍建设的对策研究
   第110页:民办教育·民办高校组织环境对教师组织承诺的影响研究
   第111页:民办教育·民办高校组织环境对教师组织承诺的影响研究
   第112页:民办教育·民办高校组织环境对教师组织承诺的影响研究
   第113页:民办教育·民办高校组织环境对教师组织承诺的影响研究
   第114页:民办教育·民办高校组织环境对教师组织承诺的影响研究
   第115页:民办教育·民办高校组织环境对教师组织承诺的影响研究
   第116页:民办教育·民办高校组织环境对教师组织承诺的影响研究
   第117页:教师与学生·论网络组织对大学校园文化传承创新的影响及对策
   第118页:教师与学生·论网络组织对大学校园文化传承创新的影响及对策
   第119页:教师与学生·论网络组织对大学校园文化传承创新的影响及对策
   第120页:教师与学生·论网络组织对大学校园文化传承创新的影响及对策
   第121页:教师与学生·论网络组织对大学校园文化传承创新的影响及对策
   第122页:教师与学生·贫困认定:高校资助工作的“阿喀琉斯之踵”
   第123页:教师与学生·贫困认定:高校资助工作的“阿喀琉斯之踵”
   第124页:教师与学生·贫困认定:高校资助工作的“阿喀琉斯之踵”
   第125页:教师与学生·贫困认定:高校资助工作的“阿喀琉斯之踵”
   第126页:教师与学生·产业升级背景下大学生创业教育现状调查与对策
   第127页:教师与学生·产业升级背景下大学生创业教育现状调查与对策
   第128页:教师与学生·产业升级背景下大学生创业教育现状调查与对策
   第129页:教师与学生·产业升级背景下大学生创业教育现状调查与对策
   第130页:教师与学生·产业升级背景下大学生创业教育现状调查与对策
   第131页:封三
   第132页:封底
异地高考公平难题的“三角关系模型”分析
高教探索招生与考试·异地高考公平难题的“三角关系模型”分析055异地高考公平难题的“三角关系模型”分析 2015-07-10 2 2015年07月10日 星期五